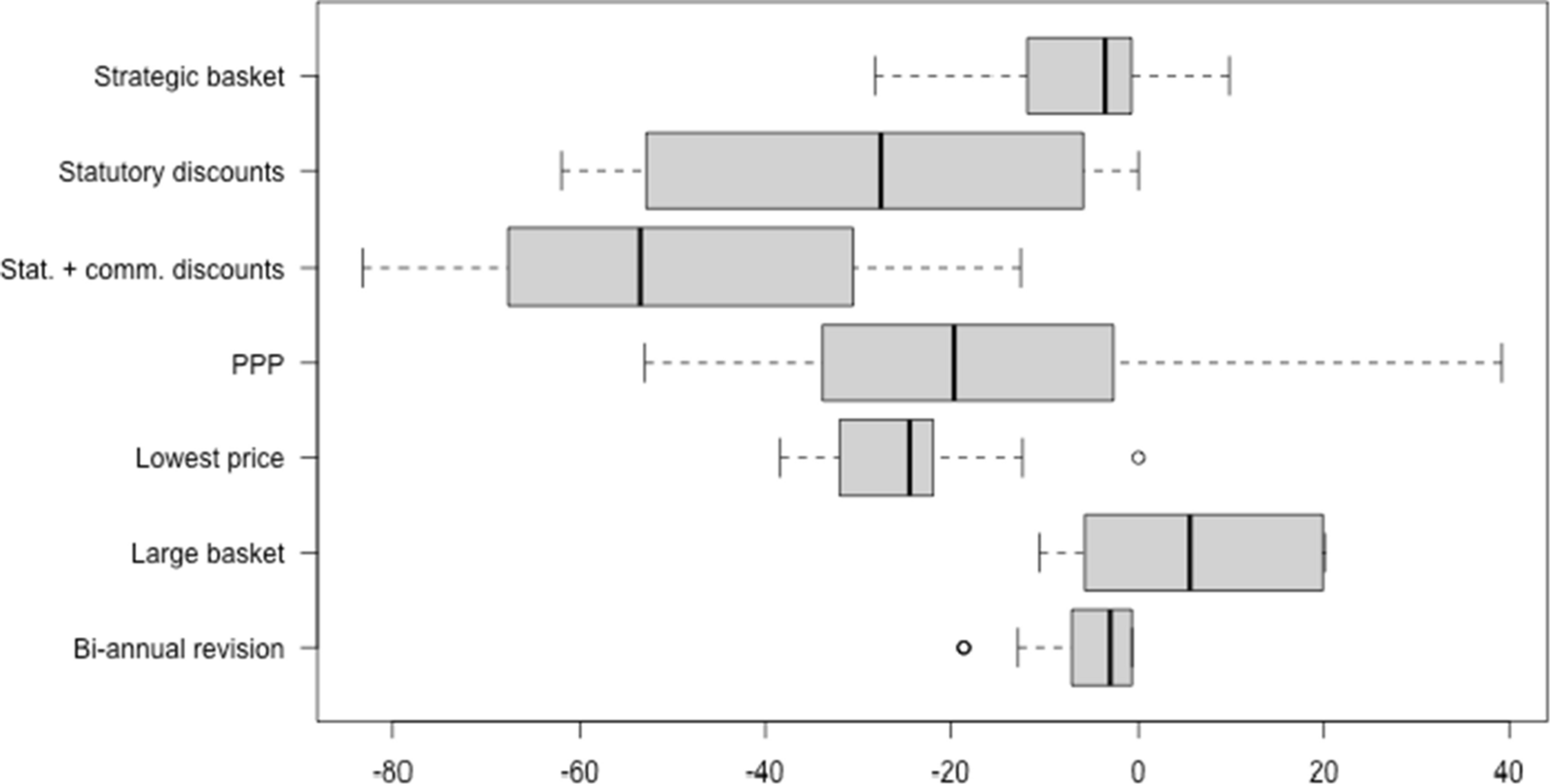
Fig. 1

Boxplot on the change in medicine prices after 10 years, upon modification in one of the parameters of the EPR methodology, compared to the base case (‘no change’)

Boxplot on the change in medicine prices after 10 years, upon modification in one of the parameters of the EPR methodology, compared to the base case (‘no change’)